0

Разделы

SITRANS LG200

 

SITRANS LG200, контактный радарный уровнемер для коротких и средних диапазонов, измерение уронвя и определения границы раздела фаз в жидких и сыпучих приложениях. Не подвержен воздействию высоких температур и давлений, пара.

 


Особенности

SITRANS LG200
  • Коаксиальный,  жесткий, и гибкий одиночный или двойной зонд  для разных приложений
  • Измерение материалов с очень низким dk: ≥1.4
  • Точность: 2,5 мм
  • Измерение уровня и границы раздела фаз в приложениях с пеной
  • 3 шага для быстрого старта
  • Экстремальные условия процесса, до +427°C или до 431 бара

 

 


Область применения

SITRANS LG200

SITRANS LG200 обеспечивает точное измерение уровня, объема или границу раздела фаз для приложений в диапазоне до 22.5 м.

SITRANS LG200 позволяет измерять уровень с высокой точностью в приложениях жидкостей, пульп, жидкостей с испарениями/насыщенным паром, в средах с высокой вязкостью, с пеной,при быстром заполнении или опорожнении емкости, приложения с переменной диэлектрической переменной и удельным весом продукта. 

Идеален для установки в трубе. SITRANS LG200 может быть установлен на любых емкостях, с любыми способами присоединения.

  • ключивые применения: углеводородные смеси, измерение границы раздела фаз/уровня, приложения с низкой dk, приложения с высокой температурой/высоким давлением, сыпучие вещества с большим углом насыпа.

 

 


Конфигурация

SITRANS LG200

SITRANS LG200 установка.

 


Технические данные

SITRANS LG200

 

Принцип работы

Принцип измерения

Волноводный радар

Диапазон

0.15 ... 22.5 м

Выход

 

мA аналоговый выход с HART

Оптически изолированный 4 ... 20 мA, 620 Ω макс.

Выходной сигнал

 

  • Аналоговый

3.8 ... 20.5 мA

  • Цифровой

0 - 999 см

Диагностика ошибок

3.6 мA, 22 мA, HOLD

Цифровая связь

HART Version 5.x

Исполнение

 

Нелинейность

 

  • Коаксиальный / двойной жесткий стержень 

<0.1% от длинны зонда или 2.5 мм

  • Одиночный жесткий стержень 

<0.3% или 8 мм

  • Для границы раздела фаз

Верхний слой: ±25.4 mm

Нижний слой: ±25.4 mm

Воспроизводимость и повторяемость

≤ 2.5 мм

Ошибка измерения)

Коаксиальный/Двойной жесткий стержень: <0.1% от длинны зонда или 2.5 mm

одиночный жесткий стержень: <0.3% от длинны стержня или 7.6 mm

Рабочие условия

 

  • Температура окружающей среды

-40 ... +80 °C

  • Диапазон теператур для работы LCD дисплея

-20...  +70 °C

  • Монтаж 

Внутри/снаружи

  • Категория монтажа

II

  • Степень загрязнения

2

  • SIL 2

Safe Failure Fraction (SFF) 91%

Рабочие условия

 

Диэлектрическая проницаемость вещества

dK ≥1.4

Температура процесса

-195 ... +427 °C

Давление

до 431 bar

Дизайн

 

Вес блока электроники без дисплея

1.28 кг

Вес блока электроники с дисплеем

1.60 кг

Материал

 

  • Корпус

Алюминиевый с эпоксидным покрытием

  • Степень защиты

Тип 4/NEMA 4, IP65

  • Кабельный ввод

2x M20x1.5 или 2 x ½” NPT

Присоединение к процессу

 

  • Резьбовое

G ¾”, 1”, 1½”, 2” [(BSPP), EN ISO 228-1]1”, 1½”, 2” NPT [(Taper), ANSI/ASME B1.20.1]

  • Фланцевое

¾”  -  4” NPT, ANSI, DIN

Программирование

 

Местное

Посредством меню с защищенным паролем

Удаленное

SIMATIC PDM via HART

Питание

11 - 36 V DC

Серитификаты и допуски

 

  • Общего допуска

CSAUS/C, CE

  • Искрозащита

FM Class I, Div. 1, Groups A, B, C and D, Class II, Div. 1, Groups E, F, and G T4, Class III, Type 4 IP65

CSA Class I, Div. 1, Groups A, B, C, and D, Class II, Div. 1, Groups E, F, and G T 4, Class III, Type 4

ATEX II 1G EEx ia IIC T4

  • Взрывозащита

FM Class I, Div 1, Groups B, C, and D, Class II, Div. 1, Groups E, F, and G T4, Class III, Type 4 IP65 

CSA Class I, Div. 1, Groups B to D, Class II, Div. 1, Group E, F, and G T4, Class III, Type 4

  • Non-Incendive

FM Class I, Div. 2, Groups A, B, C, and D, Class II, Div. 2, Groups F, G T4, Class III, Type 4 IP65

CSA Class I, Div. 2, Groups A, B, C, and D, Class II, Div. 2, Groups E, F, and G T4, Class III, Type 4

  • Огнестойкое исполнение

ATEX II 1/2 GD EEx d [ia] IIC T6

  • Неискрящий

ATEX II 3G EEx n II T4 to T6

 1) Top 610 mm (24") of Model 7ML1302-1 probe: 30 mm (1.2").  Specification for top 1.22 m (48") will be application dependent.

 

 

Coaxial Probe(7ML1301-1)

Coaxial HT/HP Probe (7ML1301-2)

Coaxial HP Probe(7ML1301-3)

Coaxial Overfill/Flooded Cage Probe (7ML1301-4)

Recommended applications:

General purpose: clean, low viscosity liquids < +150 °C

Clean, high temperature/highpressure liquids > +200 °C

Clean, high pressure liquids< +200 °C

Overfill, temperatures to+200 °C , clean, lowviscosity liquids

Not recommended for:

Coating and buildup, foam

Coating and buildup, foam, steam

Coating and buildup, foam, steam

Coating and buildup, foam

Materials/Wetted parts:

  • Standard

316L SS, TFE, Viton® GFLT

316L SS, Alumina, Borosilicate, Inconel X750

316L SS, TFE, Borosilicate, Inconel X750

316L SS, TFE, Viton GFLT

  • Optional

 

Hastelloy® C, Monel®

 

Hastelloy C, Monel

Hastelloy C, Monel

Hastelloy C, Monel

Process Seal:

Viton GFLT O-ring

Borosilicate

Borosilicate

Viton GFLT O-Ring

Rod/Tube Diameter:  

  • Standard

ø 8 мм (0.3125”) rodø 22 мм (0.875”) tube

ø 8 мм (0.3125”) rodø 22 мм (0.875”) tube

ø 8 мм (0.3125”) rodø 22 мм (0.875”) tube

ø 8 мм (0.3125”) rodø 22 мм (0.875”) tube

  • Enlarged

ø 15 мм (0.63”) rodø 45 мм (1.75”) tube

ø 15 мм (0.63”) rodø 45 мм (1.75”) tube

ø 15 мм (0.63”) rodø 45 мм (1.75”) tube

ø 15 мм (0.63”) rodø 45 мм (1.75”) tube

Process Connection Thread:

  • Standard  

¾” NPT [(Taper),ANSI/ASME B1.20.1], G 1” [(BSPP), EN ISO 228-1]

¾” NPT [(Taper), ANSI/ASME B1.20.1], G 1” [(BSPP), EN ISO 228-1]

¾” NPT [(Taper), ANSI/ASME B1.20.1], G 1” [(BSPP), ENISO 228-1]

¾” NPT [(Taper), ANSI/ASME B1.20.1], G 1” [(BSPP), EN ISO 228-1]

  • Enlarged

2” NPT [(Taper),ANSI/ASME B1.20.1]

2” NPT [(Taper), ANSI/ASME B1.20.1]

2” NPT [(Taper), ANSI/ASME B1.20.1]

2” NPT [(Taper), ANSI/ASME B1.20.1]

Flange ANSI (DIN):

  • Standard 

1 ... 4” (DN25 to 100)

1 .... 4” (DN25 to 100)

1 to 4” (DN25 to 100)

1 to 4” (DN25 to 100)

  • Enlarged

2 ... 4” (DN50 to 100)

2.... 4” (DN50 to 100)

2 to 4” (DN50 to 100)

2 to 4” (DN50 to 100)

Длина:

60...610 см (24 to 240”)

60... 610 cм (24 to 240”)

60 ... 610 см (24 to 240”)

60 .... 610 см (24 to 240”)

Transition Zone:

  • Top

25 mm (1”) @ dk = 1.4150 mm (6”) @ dk = 80

none

25 mm (1”) @ dk = 1.4150 mm (6”) @ dk = 80

none

  • Bottom

150 mm (6”) @ dk = 1.425 mm (1”) @ dk = 80

150 mm (6”) @ dk = 1.425 mm (1”) @ dk = 80

150 mm (6”) @ dk = 1.425 mm (1”) @ dk = 80

150 mm (6”) @ dk = 1.425 mm (1”) @ dk = 80

Process temperature:

  • Maximum

+150 °C @ 27 bar g(+300 °F @ 400 psi g)

+427 °C @ 133 bar g(+800 °F @ 2000 psi g)

+200 °C @ 379 bar g(+400 °F @ 5500 psi g)

+200 °C @ 18 bar g(+400 °F @ 270 psi g)

  • Minimum 

-40 °C @ 70 bar g(-40 °F @ 1000 psi g)

-195 °C @ 430 bar g(-320 °F @ 6250 psi g)

-195 °C @ 430 bar g(-320 °F @ 6250 psi g)

-40 °C @ 70 bar g(-40 °F @ 1000 psi g)

Process pressure:

  • Maximum

70 bar g @ +20 °C(1000 psi g @ +70 °F)

431 bar @ +20 °C(6250 psi g @ +70 °F)

431 bar @ +20 °C(6250 psi g @ +70 °F)

70 bar g @ +20 °C(1000 psi g @ +70 °F)

  • Minimum/vacuum service

Yes, not hermetic

Yes, hermetic(<10-8 cc/sec @ 1 atmosphere)

Yes, hermetic(<10-8 cc/sec @ 1 atmosphere)

Yes, not hermetic

Dielectric range:

1.4 to 100

1.4 to 100

1.4 to 100

1.4 to 100

Maximum viscosity (cP):

  • Standard

 500

500

500

500

  • Enlarged

1500

1500

1500

1500

Coating/buildup:

No

No

No

No

Foam:

No

No

No

No

Corrosives:

Yes

Yes

Yes

Yes

Sanitary:

No

No

No

No

Overfill:

No

Yes

No

Yes

 

®Viton is a registered trademark of DuPont Dow Elastomers.®Hastelloy is a registered trademark of Haynes International.

®Kalrez is a registered trademark of DuPont Dow Elastomers.®Monel is a registered trademark of Special Metals Corporation.

 

 

 

Coaxial HT/HP Steam Probe (7ML1301-5)

Coaxial Interface Probe (7ML1301-6)

Single Rigid Rod Probe (7ML1303-1), Single Rigid Rod HT/HP Probe (7ML1303-2)

Single Rigid Rod Probe, PFArod insulation (7ML1303-1J)

Recommended applications:

Hot water (steam) (external chamber is required for usein boilers)

Temperatures to +200 °C (+400 °F); clean, low-viscosityliquids

Coating and buildup, foam

Excessive coating and buildup, foam

Not recommended for:

General purpose, coating and buildup, foam

Coating and buildup, foam

Low dielectric media (dK < 10)1)

Low dielectric media (dK < 10)

Materials/Wetted parts:

  • Standard

316L SS, PEEK, AegisPF128

316L SS, TFE, Viton GFLT

316L SS, TFE, Viton GFLT

316L SS, PFA, Viton GFLT

  • Optional

N/A

Hastelloy C, Monel

Hastelloy C, Monel

N/A

Process seal:

Aegis PF128 O-ring, PEEK

Viton GFLT O-ring

7ML1303-1: Viton GFLT O-ring7ML1303-2: Aegis PF128

Viton GFLT O-ring

Rod/Tube Diameter:

  • Standard

ø 8 mm (0.3125”) rodø 22 mm (0.875”) tube

ø 8 mm (0.3125”) rodø 22 mm (0.875”) tube

ø 12 mm (0.5”) rod

ø 12 mm (0.5”) rodø 16 mm (0.625”) insulation

  • Enlarged

N/A

ø 15 mm (0.63”) rodø 45 mm (1.75”) tube

N/A

N/A

Process Connection Thread:

  • Standard

¾” NPT [(Taper),ANSI/ASME B1.20.1], G 1” [(BSPP), EN ISO 228-1]

¾” NPT [(Taper), ANSI/ASME B1.20.1], G 1” [(BSPP), EN ISO 228-1]

2” NPT [(Taper), ANSI/ASME B1.20.1] , G 2” [(BSPP), EN ISO 228-1]

2” NPT [(Taper), ANSI/ASME B1.20.1], G 2” [(BSPP), EN ISO228-1]

  • Enlarged

N/A

2” NPT [(Taper), ANSI/ASME B1.20.1]

N/A

N/A

Flange ANSI (DIN):

  • Standard 

1 to 4” (DN25 to 100)

1 to 4” (DN25 to 100)

2 to 4” (DN50 to 100)

2 to 4” (DN50 to 100)

  • Enlarged

N/A

2 to 4” (DN50 to 100)

N/A

N/A

Length:

60 to 455 cm (24 to 180”)

60 to 610 cm (24 to 240”)

60 to 610 cm (24 to 240”)

60 to 610 cm (24 to 240”)

Transition Zone:

  • Top

25 mm (1”) @ dk ≥ 10

none

Blocking distance: 12 to 91 cm (4.8 to 36”), probe length dependent

Blocking distance: 12 to 91 cm (4.8 to 36”), probe length dependent

  • Bottom

25 mm (1”) @ dk ≥ 10

150 mm (6”) @ dk = 1.425 mm (1”) @ dk = 80

25 mm (1”) @ dk >10

25 mm (1”) @ dk >10

Process temperature:

  • Maximum

+343 °C @ 165 bar g(+650 °F @ 2400 psi g)(saturated steam)

+200 °C @ 18 bar g(+400 °F @ 270 psi g)

7ML1303-1: +150 °C @27 bar g (+300 °F @ 400 psi g)7ML1303-2: +316 °C @165 bar g(+605 °F @ 2400 psi g)

+150 °C @ 27 bar g(+300 °F @ 400 psi g)

  • Minimum

N/A

40 °C @ 70 bar g(-40 °F @ 1000 psi g)

-40 °C @ 70 bar g(-40 °F @ 1000 psi g)

-40 °C @ 50 bar g(-40 °F @ 750 psi g)

Process pressure

  • Maximum

165 bar @ +343 °C(2400 psi g @ 650 °F)

70 bar @ +20 °C(1000 psi g @ +70 °F)

7ML1303-1: 70 bar @ +20 °C(1000 psi g @ +70 °F)7ML1303-1: 207 bar @ +20 °C(3000 psi g @ +70 °F)

70 bar @ +20 °C(1000 psi g @ +70 °F)

  • Minimum/vacuum service

Yes, not hermetic

Yes, not hermetic

N/A

N/A

Dielectric range:

10 to 100

Upper Liquid Layer 1.4 to 5Interface Liquid Layer 15 to100

1.9 to 1001)

1.9 to 1001)

Maximum viscosity (cP):

  • Standard

500

500

10 000 (consult factory if severe agitation/turbulence)

  • Enlarged

N/A

1500

10 000 (consult factory if severe agitation/turbulence)

Coating/buildup:

No

No

Yes, maximum error 10% of coated length;% error related to dielectric of media, thickness of coating and coated probe length above media

Foam:

No

No

Yes

Yes

Corrosives:

Yes

Yes

Yes

Yes

Sanitary:

No

No

No

No

Overfill:

Yes

Yes

No

No

 1) With dK of 1.9 to 10, the device must be mounted between 50 and 100 mm (2 to 6”) of metal tank wall or in chamber/bridle.

 

 

Single Rigid Rod Probe, Sanitary (7ML1303-1D)

Single Rigid Rod Probe, PFA faced flange(7ML1303-1E)

Single Flexible Rod Probe (7ML1304-1)

Single Flexible Rod Probe for Bulk Solids (7ML1304-2)

Recommended applications:

Applications demandingsanitary specifications

Extreme corrosives, coating/buildup, foam

Coating and buildup, foam; lengths > 6 m (20 ft) headroom

Bulk solids applications (powders,grain, dust) 3000 lb pulldown force

Not recommended for:

Low dielectric media(dK < 10)1)

Low dielectric media(dK < 10)1)

Low dielectric media (dK < 10)

Solids with dK < 4

Materials/Wetted parts:

  • Standard

316L SS, TFE, <20 Ra finish

All PFA - wetted surfaces

316L SS, TFE, Viton GFLT

316L SS, TFE, Viton GFLT

  • Optional

Hastelloy C, Monel,AL6XN SS

N/A

N/A

N/A

Process seal:

316L SS, TFE, Viton GFLT O-ring

PFA, no O-ring

Viton GFLT O-ring

Sealant

Rod/Tube Diameter:

ø 12 mm (0.5”) rod

ø 12 mm (0.5”) rodø 16 mm (0.625”) insulation

ø 5 mm (0.188”) cable

ø 6 mm (0.25”) cable

Process Connection Thread:

N/A

N/A

2” NPT [(Taper), ANSI/ASME B1.20.1],

G 2” [(BSPP), ENISO 228-1]

2” NPT [(Taper), ANSI/ASME B1.20.1],

G 2” [(BSPP), EN ISO228-1]

Flange ANSI (DIN):

38 to 100 mm (1.5 to 4”)Triclover-style 16 amp fitting

2 to 4” (DN50 to 100)

2 to 4” (DN50 to 100)

2 to 4” (DN50 to 100)

Length:

60 to 610 cm (24 to 240”)

60 to 610 cm (24 to 240”)

2 to 22 meters (6 to 75 ft)

2 to 22 meters (6 to 75 ft)

Transition Zone:

  • Top

Blocking distance: 0 to91 cm (0 to 36”), probelength dependent

Blocking distance: 12 to 91 cm (4.8 to 36”), probe length dependent

Blocking distance: 12 to 91 cm (4.8 to 36”), probe length dependent

Blocking distance: 12 to 91 cm (4.8 to 36”), probe length dependent

  • Bottom

25 mm (1”) @ dk >10

25 mm (1”) @ dk >10

305 mm (12”)

305 mm (12”)

Process temperature:

  • Maximum

+150 °C @ 5.1 bar g(+300 °F @ 75 psi g)

+150 °C @ 27 bar g(+300 °F @ 400 psi g)

+150 °C @ 27 bar g(+300 °F @ 400 psi g)

+66 °C (+150 °F)

  • Minimum

Consult factory.

-40 °C @ 13.7 bar g(-40 °F @ 200 psi g)

-40 °C @ 70 bar g(-40 °F @ 1000 psi g)

N/A

Process pressure:

  • Maximum

5.1 bar g @ +150 °C(75 psi g @ +300 °F)

70 bar @ +20 °C(1000 psi g @ +70°F)

70 bar @ +20 °C(1000 psi g @ +70 °F)

3.4 bar g (50 psi g)

  • Minimum/vacuum service

N/A

N/A

N/A

N/A

Dielectric range:

1.9 to 1001)

1.9 to 100

10 to 1001)

4 to 100

Maximum viscosity (cP):

10 000 (consult factory if severe agitation/turbulence)

Coating/buildup:

Yes, maximum error 10% of coated length;% error related to dielectric of media, thickness of coating and coated probe length above media

Foam:

Yes

Yes

Yes

Yes

Corrosives:

No

Yes

No

No

Sanitary:

Yes

No

No

No

Overfill:

No

No

No

No

 1) With dK of 1.9 to 10, the device must be mounted between 50 and 100 mm (2 to 6”) of metal tank wall or in chamber/bridle.

 

 

 

Twin Rod Probe(7ML1302-1)

Flexible Twin Rod Probe(7ML1302-3)

Flexible Light Duty Bulk Solids Probe (7ML1302-2)

Recommended applications:

General purpose, foam, minor film coating

Low dielectric media (2.0 to 10) with lengths > 6 m (20 ft)

Light bulk solids applications (powders, grains, dust), 3000 lbs pull-down force

Not recommended for:

Media bridging between rods or building up on spacers

Dielectric > 10: media bridging on flexible elements

Media bridging on flexible elements

Materials/Wetted parts:

  • Standard

316L SS, TFE, Viton GFLT

316L SS, FEP, Viton GFLT

316L SS, TFE, Viton GFLT

  • Optional

Hastelloy C, Monel

N/A

N/A

Process seal:

Viton GFLT O-ring

Viton GFLT O-ring

Sealant

Rod/Tube Diameter:

Two, ø 12 mm (0.5”) rod;22 mm (0.875”) CL to CL

Two, ø 6 mm (0.25”) cables;22 mm (0.875”) CL to CL

Two, ø 6 mm (0.25”) cables;22 mm (0.875”) CL to CL

Process Connection Thread:

2” NPT [(Taper), ANSI/ASMEB1.20.1],

G 2” [(BSPP), EN ISO 228-1]

2” NPT [(Taper), ANSI/ASME B1.20.1],

G 2” [(BSPP), EN ISO 228-1]

2” NPT [(Taper), ANSI/ASME B1.20.1],

G 2” [(BSPP), EN ISO 228-1]

Flange ANSI (DIN):

2 to 4” (DN50 to 100)

2 to 4” (DN50 to 100)

2 to 4” (DN50 to 100)

Length:

60 to 610 cm (24 to 240”)

2 to 22 m (6 to 75 ft)

2 to 22 m (6 to 75 ft)

Transition Zone 1) :

  • Top

150 mm (6”) @ dK > 1.9Blocking distance: none

150 mm (6”) @ dK > 1.9Blocking distance: 12 to 50 cm (4.8 to 20”)

150 mm (6”) @ dK > 1.9Blocking distance: 12 to 50 cm (4.8 to 20”)

  • Bottom

150 mm (6”) @ dK = 1.925 mm (1”) @ dK = 80

305 mm (12”)

305 mm (12”)

Process temperature: 2)

  • Maximum

+200 °C @ 19 bar g (+400 °F @ 275 psi g)

+66 °C (+150 °F)

  • Minimum

-40 °C @ 70 bar g (-40 °F @ 100 psi g)

N/A

Process pressure:

  • Maximum

70 bar g @ +20 °C (1000 psi g @ +70 °F)

3.4 bar g (50 psi g)

  • Minimum/vacuum service

Yes, not hermetic

N/A

Dielectric range:

1.9 to 100

1.9 to 100

1.9 to 100

Maximum viscosity (cP):

1500

1500

N/A

Coating/buildup:

Yes, maximum error 3% of coated length with conductive media Bridging not recommended.3)

Foam:

Yes

Yes

Yes

Corrosives:

Yes

No

Yes

Sanitary:

No

No

No

Overfill:

No

No

No

1) Transition zone is dielectric dependent: dK = dielectric permittivity. Unit will function but accuracy will decrease in Transition Zone.

2) Refer to Ambient Temperature vs Process Temperature graphs in instruction manual.

3) Bridging is defined as continuous accumulation of material between the probe elements.

 

O-Ring (seal) Selection Guide 

Материал

Максимальная температура

Максимальное давление

Минимальная температура

Рекомендованно для применения в:

Не рекомендуеться применять в:

Viton GFLT

+200 °C @ 16 bar g(+400 °F @ 232 psi g)

70 bar g @ +20 °C(1000 psi g @ +70 °F)

-40 °C (-40 °F)

General purpose, steam, ethylene

Ketones (MEK, acetone), skydrol fluids, amines,anhydrous ammonia, low molecular weight esters and ethers, hot hydrofluoric or chlorosulfuric acids, sour HCs

EPDM

+125 °C @ 14 bar g(+250 °F @ 200 psi g)

70 bar g @ +20 °C(1000 psi g @ +70 °F)

-50 °C (-60 °F)

Acetone, MEK, skydrol fluids

Petroleum oils, di-ester base lubricants, propane, steam, anhydrous ammonia

Kalrez (4079)

+200 °C @ 16 bar g(+400 °F @ 232 psi g)

70 bar g @ +20 °C(1000 psi g @+70 °F)

-40 °C (-40 °F)

Inorganic and organic acids (including HF and nitric) aldehydes, ethylene, glycols,organic oils, silicone oils, vinegar, sour HCs

Black liquor, hot water/steam, hot aliphatic amines, ethylene oxide, propylene oxide, molten sodium, molten potassium,anhydrous ammonia

Aegis PF128

+200 °C @ 16 bar g(+400 °F @ 232 psi g)

70 bar g @ +20 °C(1000 psi g @ +70 °F)

-20 °C (-4 °F)

Inorganic and organic acids (including HF and nitric) aldehydes, ethylene, glycols,organic oils, silicone oils, vinegar, sour HCs, steam, amines, ethylene oxide,propylene oxide

Black liquor, Freon 43, Freon 75, Galden, KEL-F liquid, molten sodium, moltenpotassium,  anhydrous ammonia

Borosilicate

+427 °C @ 135 bar

430 bar g @ +20 °C

-195 °C (-320 °F)

General high temperature/high pressure applications, hydrocarbons, full vacuum (hermetic), anhydrous ammonia

Steam, hot alkaline solutions, HF acid, media with pH>12

 

 


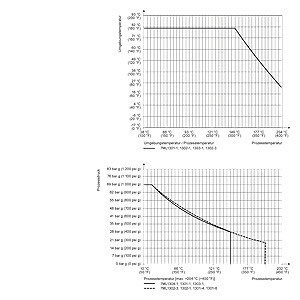
Характеристика

SITRANS LG200

SITRANS LG200 Кривые снижения рабочих параметров давления/температура

SITRANS LG200 Кривые снижения рабочих параметров давления/температура

 

 


Чертеж

SITRANS LG200

 Размеры SITRANS LG200

Размеры SITRANS LG200

Размеры SITRANS LG200

 


Схема подключения

SITRANS LG200

 Соединения SITRANS LG200

 


Заказные данные

Цена на сайте указана розничная в ЕВРО без учета НДС.Для уточнения цены и размера предоставляемой скидки - звоните или присылайте заявки

Заказной номерPGОписание продуктаЦена
7ML1300-.....-....855радарный передатчик для низкого и среднего уровня, измерение уровня жидкостей и сыпучих продуктов, применяется при высоких температурах и давлениях, пары 1399.20
7ML1301-.....-....855SITRANS LG200, используется в стандартных применениях, коаксиальный зонд 0.00
7ML1302-.....-....855SITRANS LG200, стержневой зонд, используется в различных задачах 0.00
7ML1303-.....-....855SITRANS LG200 SINGLE ROD RIGID PROBES ARE USED IN APPLICATIONS WHERE COATING AND BUILDUP ARE LIKELY. USED IN APP APPLICATION WITH DIELECTRIC CONSTANT GREATER THAN 10 OR DK GREATER THAN 1.9 WHEN INSTALLED WITHIN 2 TO 6 OF A METAL TANK WALL OR IN CAGE OR BRIDLE. 0.00
7ML1304-.....-....855SITRANS LG200, единый, стержневой, гибкий зонд, используется для различных задач по измерению уровня 0.00
7ML1305-.....-....855SITRANS LG200, заменяющийся зонд 0.00

 


Аксессуары

Цена на сайте указана розничная в ЕВРО без учета НДС.Для уточнения цены и размера предоставляемой скидки - звоните или присылайте заявки

Заказной номерPGОписание продуктаЦена
7ML1930-1DJ856LG200,TFE BOTTOM SPACER 257.58
7ML1998-5KA028ZMMANUAL, SITRANS LG200, ENGLISH 28.62
7ML1998-5KA118ZMMANUAL, SITRANS LG200, FRENCH 28.62
7ML1998-5KA328ZMMANUAL, SITRANS LG200, GERMAN 28.62
7ML1998-5XG818ZMинструкция по эксплуатации для LG200, быстрый запуск, многоязычный 28.62